Mr. D is a young man with a passionate interest in how people learn, change, and better themselves. But in discussing these issues with friends, and reading about them on the internet, he had become troubled by the number of opinionated people and pundits who argued that success was strongly predetermined by genes and racial group membership. Furthermore, Mr. D had come to suspect that many of these people, who often dominated popular websites, were confidently espousing “scientific evidence” that was suspiciously obscure and at least partly wrong. So after reading my review of Russell Warne’s book In The Know, Mr. D raised some of his concerns and questions with me. I could see that he was grappling with arguments that incorporated many of the most common misunderstandings and misrepresentations promulgated by race science advocates. It was an opportunity, therefore, to discuss these arguments in detail, in a prolonged conversation. Since these flawed arguments tend to pop up in many places, despite having been repeatedly critiqued and debunked, they are worth examining closely by anyone interested in the topics of race, intelligence and genetics. This discussion began with Mr. D’s initial comments and questions to me, and proceeded as follows:
***
2/3/23. Hi Dr. Jackson, I hope you’re doing great. . . I was lucky enough to find your website thanks to the review you wrote of the book “In the Know” on Amazon and I have to admit that I’ve found your perspective on intelligence research to be quite refreshing and a glimpse of hope in this world that is falling more and more into the far right. I’m sorry if this message is rather long, but there’s a lot of things that I wanted to ask you about.
I’m a computer programmer, so I’m a complete layman in the social sciences. I recently became interested in the field of intelligence research due to an argument that I had with [a friend].
We were arguing about whether or not everybody could become a computer programmer given proper training. My argument was that everybody could become a programmer to the degree that they could get a developer job somewhere. It was just a matter of finding the correct resources, putting in the time, and having a good amount of determination and patience (A LOT of patience). This is essentially what I did in my life and I’m a full-time developer. It wasn’t easy, but I did it. [The friend] argued that first, we should apply IQ tests to determine if the candidate is even up for the task and if they scored low, to not even waste our time on them. [This friend] was making the argument that general intelligence was mainly biologically determined, that it couldn’t really be improved, that it was definitely connected to your race, and that there was a plethora of scientific research to back up all of these claims. That’s why there are way more White and Asian coders than Blacks or Latinos. Thanks to your website, I discovered that this perspective on intelligence is called hereditarianism.
Arguing with [this friend] led me down a rabbit hole into the world of intelligence research literature. Navigating through this literature, as a layman, has been a complete nightmare. Studies using confusing terms (‘heritability’ is a term that is just asking to be misinterpreted in my own opinion), studies contradicting each other and reaching different conclusions, which is to be expected from science research of this level. But, for me, the most disturbing thing is the powerful voice that the hereditarian school of thought seems to have in mainstream society. I know that the scientific consensus is that there is no evidence that genetics explain the differences in results of IQ from different racial groups, and hell, I even know that the biological consensus is that ‘race’ is not even biologically determined but a social construct.
However, when I research pop science regarding IQ and intelligence, much of the content itself is from the hereditarian perspective, and this content directly contradicts the scientific consensus that there’s no evidence that IQ is racially determined and race is even a thing scientifically. As an example, I read the aforementioned book, ‘In the Know’, which has become quite popular in recent years, and has the appearance of a solid and thorough pop science book (it was one of the main sources that [this friend] was using). I watched a course on Intelligence by the Great Courses (a very famous education company). Most of this course was from the hereditarian perspective and it was hosted by Richard Haier, a proponent of hereditarianism and a defender of Murray’s The Bell Curve. And last but not least, by simply going to Google or Youtube and searching IQ, where you get a never ending stream of Jordan Peterson’s videos discussing IQ in the most race realist way imaginable.
Due to the ease of accessibility of this content, I’m frankly not surprised that people are becoming racist and reaching eugenic conclusions.
I guess my question to you is, and I’m sorry if I’m being rather abrupt here but, how did we get to this level of misinformation? How is it possible that a field of science has pop science books that directly contradict the scientific consensus of that field itself? . . . How is it possible that Cambridge Press would publish a book like In the Know? I’m shocked this could happen in modern day science. . .
Are other colleagues of yours also concerned with the degree in which the hereditarian school seems to be gaining so much ground in the public discourse? Do you know if there are currently any campaigns to counter that effect and deliver the public accurate education in intelligence?
Anyways, I don’t wish to take more of your time. Thanks for reading this and for everything you’ve written and please, keep doing so.
Regards,
Mr. D
***
2/6/23. Hi Mr. D. Thank you for your kind email. I am happy to learn that my review was helpful to you. I am also happy to be able to respond to you at length because it gives me a chance to articulate in detail some comments about these important issues related to so-called “race science.”
The arguments that you are hearing from your friend are pretty typical of the arguments that “race realists” make these days. While you have discovered some of the flaws in their reasoning, what you may not know is the long history behind these flawed claims. The arguments attempting to link IQ and White supremacy started early in the history of psychology—actually, before the field had even been formed into a discipline—in the nineteenth century work of Francis Galton, who got the idea of developing statistical methods with the goal of proving the inherited superiority of himself, his family, and other members of the ruling British elite (the name of his main book was “Hereditary Genius”). Galton’s ideas about using statistics to prove intellectual superiority were picked up by academics in Britain and the U.S. Some of the British academics like Cyril Burt were primarily interested in proving the inherited superiority of the British ruling classes over the working classes, but others like Karl Pearson and some Americans like Raymond Cattell were more interested in proving the superiority of Whites over other races, especially Blacks. So even the original development of statistical techniques was, for many of those scholars, part of a larger project of ideological hereditarianism in nineteenth and twentieth century Britain and the U.S. In their eagerness to prove the inherent superiority of advantaged over disadvantaged groups, these scholars made many of the same mistakes that Galton made (and that Warne and others would make after them)–such as circular reasoning, correlation/causation errors, confusion of heritability with heredity, conflation of individual heritability with group heritability, etc. However, the mistakes were often ignored because, over time, the underlying statistical techniques upon which they were based, were shown to be accurate and useful when employed properly (e.g. predicting some economic and social behaviors), and, also because, during this same period, hereditarian authors were extending and applying the basic statistical techniques in progressively more complex and technical ways (e.g., multiple regression and factor analysis) to advance the hereditarian program. Thus, while later hereditarians repeatedly made the same mistakes as the earlier ones, the mistakes were increasingly obscured by the technical complexity of the statistical techniques in which they were wrapped and the fact that most people were not knowledgeable enough about these techniques to spot the mistakes. And even those who were knowledgeable usually were not inclined to make an issue of it by challenging their colleagues–particularly in defense of racial minorities, who were often assumed, especially by academic elites, to be inferior anyway. This protection for “race science” writers has persisted even to some recent and current work. An example of a recent author in this category is Arthur Jensen, whose uses of statistics in the late twentieth century to argue for White supremacy were seriously flawed, but also frequently so obscure and so complicated that most people, even many psychologists, had trouble sorting them out–which then made it easy for Jensen’s fans to regard him as a genius, to treat him as a hero, and to intimidate others by repeating his arguments (without really understanding them) to others who might question them. In addition, this movement to prove inherited White superiority was funded, increasingly as time went on, by individuals and groups with conservative, and/or hereditarian, and/or racist agendas. During the early twentieth century, particularly, “race science” arguments were used to justify theories of eugenics, which, as you know, culminated in the genocidal program of the Nazis. (If you are interested, there is a very good, well-documented, and accessible history of this movement, from Galton to the late twentieth century, by William Tucker in his book The Politics of Racial Research; Angela Saini’s book Superior also covers this history quite well.)
Because of these complexities, the problems with “race science” were not widely recognized during the first half of the twentieth century, and after World War II the Nazi genocide gave race science a bad name, so there wasn’t much attention to it then either. After a couple of decades, though, “race science” reemerged, particularly with Arthur Jensen in 1969, Charles Murray in 1994, and more recently with popular “race science” gurus on the internet. The disciplines of psychology and other social sciences were slow to respond. As I mentioned above, while the same flawed reasoning was still being used, the technical complexities of the arguments and inertia of people in academic research settings allowed the “race science” people to continue their work with a cover of respectability. Nevertheless, after about 1970 other academics increasingly began to analyze the flaws–for example, in 1970 Richard Lewontin and others began to expose some of the flaws in the “race” concept; Leon Kamin and Stephen Jay Gould wrote severe critiques of Jensen and Murray; James Flynn analyzed data showing that important cross-cultural and cross-generational increases in intelligence could not possibly be due to genetics; Claude S. Fischer and other sociologists further critiqued the problems in Murray’s methods and data; Graham Richards analyzed many of the flaws in the “race science” concepts and arguments; and, more recently, Jay Joseph, Ken Richardson, and Eric Turkheimer exposed flaws in “race science” claims about genetic processes. These developments increasingly convinced most academics that “race science” was severely mistaken–but this insight stayed largely within the academic community, and the public had essentially no awareness of it. “Race science” proponents realized this and responded by turning to nonacademic public forums instead. One of the first to do so was Charles Murray, whose book The Bell Curve was not peer reviewed but sold a lot of copies and got him many followers; and he thereafter continued to write books and give lectures for the public. You know who some of the others are, including Warne and the current internet gurus.
You raise a good question about how the Cambridge University Press could let Warne slip through peer review. One reason is that those who are sympathetic to “race science,” or who are taken in by its arguments, occasionally secure positions of status and influence, including peer review positions, and they tend to be drawn to highly technical arguments supporting hereditarian and/or racialist positions. An example of this is Richard Haier, who has gotten the editorship of the journal Intelligence, but who, himself, has serious misunderstandings about the concept of intelligence. Most of his work is in brain imaging. He has misconceptions about the nature and measurement of intelligence, and he apparently does not understand the statistical problems inherent in “race science” arguments, including how measured intelligence manifests as it does in differently positioned social groups and what it means, but he continues to speak, write, and present himself as an authority. People like Haier who gain influential positions like editorships can often maintain them when they are highly motivated to do so and have other sympathetic allies. This is one of the reasons “race science” internet gurus continue to thrive–because they can cite “authorities” like Haier.
You should not despair, though, about “race realists” getting away with it. An increasing number of people have begun to expose the flaws in their arguments in publicly accessible settings. Even the earlier academic critics I mentioned above have written some analyses that are accessible to the public (though sometimes difficult), such as Leon Kamin and Stephen Jay Gould. Gould is a particularly interesting case, because he was knowledgeable about statistics and wrote a devastating critique, a book called The Mismeasure of Man. He was, and still is, severely criticized by “race science” authors, and they regularly claim (with little justification) that he made serious mistakes. I have read the strongest of these attacks, and they nearly all focus on minor flaws in one or two parts of his book, but almost never address his central statistical argument (about bias in the definition, measurement and interpretation of “general intelligence”), which remains just as valid today as it did when he wrote it three decades ago. If you are interested, I could give you leads and links to these and/or other critics, such as John Jackson (no relation) and Jay Joseph who both have websites with much information.
In my own case, I began to realize that there was something wrong with the “race science” arguments in the 1970s. I was a graduate student, and there were some things about certain uses of factor analysis that seemed wrong to me. I was at the University of Michigan at the time, so I asked a highly regarded statistician about some of them, and he said, in effect, yeah, you’re right, you’ve got a good point. I subsequently pursued other critiques of psychological methodology, and gradually learned that there were many assumptions about the uses of psychological methods and analyses that were problematic but were taken for granted. Later, when I returned to teaching, I suspected that there was something wrong with Murray’s book The Bell Curve as it was being portrayed in introductory psychology textbooks, so I delved into that work, and was shocked at how shoddy and erroneous some of Murray’s claims and reasoning were. I began to search actively to see if anyone, besides Murray, had a valid argument for inherent White intellectual superiority. When I found “race science” advocates online, I started challenging them, particularly the ones who seemed the most confident and knowledgeable, and I found that their arguments invariably collapsed as soon as they were pressed by someone with knowledge of psychological and statistical methodology. They never admitted they were wrong—they were stubborn, or perhaps embarrassed, and most of the time they simply did not understand the issues sufficiently to respond adequately. While some of these debates were interesting (I learned a lot about where and how they were wrong), I eventually realized that arguing with these people was a waste of time. So, I decided instead to start writing critiques. I considered writing these in academic journals, but such journal articles (with a few rare exceptions) never reach the public. Therefore, I decided to write reviews in public forums like Amazon and my website. I see my work now as a form of publicly accessible fact-checking, with detailed cited sources, available to anyone who is interested and willing to do the work of some internet searching. And I am delighted to see that quite a few people, like you, are interested.
So I commend your willingness to delve into these issues and encourage you to continue to do so. I am glad I was able to help you with this. Let me know if you have any further thoughts or questions, or if you would like me to give you further information about legitimate scientific critiques of “race science.”
Michael
***
2/12/23. Dr. Jackson, I really appreciate you taking the time to write this very detailed explanation about the history of race science. Now, I can understand why the hereditarian position is so influential even though it doesn’t have actual scientific backing. Your description of a race science apologist fits perfectly well with what I have encountered online. They sure love to throw out never ending statistical word salad that nobody can really understand and that gives them an air of intellectual depth when in reality I don’t think they even understand what they themselves are saying.
I have unfortunately been introduced to the works of Emil Kirkegaard and Davide Piffer. The thing that I find the most disturbing about them is the fact that they have actually published peer-reviewed articles in the past. . . I think I now understand the strategies of these “researchers” and how they manage to game academia. They first publish some articles that actually make it through the peer-reviewed system. They gain some sort notoriety and credibility for doing so, and then, after having gained that status, they start releasing all their pseudoscientific fallacious papers in race realist journals, and then, when they get accused of their articles not being peer-reviewed, they just state that their articles where too controversial and that they were being suppressed by mainstream science and they had no choice but to release them in “open-peer” journals. It’s truly disgusting.
Please, I’d appreciate your recommendation on anti-race science literature, since I don’t know that many authors. I’ll check those you have mentioned. My anti-race science knowledge is very limited.
By far, the most common arguments that I have seen popping up over and over again are these:
The first one is related to twin studies. If you have pairs of identical twins and fraternal twins and you make all of them take an IQ test, if identical twins have closer IQ results from the fraternal twins, that means that IQ is genetic.
The first rebuttal that I hear from this argument is that identical twins not only share the same genes but [unlike fraternal twins] also the same environment up to the point that they tend to be socialized in the exact same way. However, race realists then counter by saying that there are studies out there of identical twins raised apart who still have identical IQ scores, trying to prove with this that environment is irrelevant and genes are what matter.
What is your opinion about these twins raised apart studies? Are they really reliable? Are people actually misunderstanding them?
The second argument, which I have actually heard from Richard Haier, has to do with how do we reconcile the hereditarian perspective with the Flynn effect. And essentially, they argued that even though the Flynn effect shows that the environment does play some kind of role in IQ scores, the role is pretty minimal and IQ is still mostly genetic, comparing it with how heights have also increased world wide. Saying stuff like:
“the modern Japanese is taller than the Japanese from a few years ago, and the modern German is taller than the German from a few years ago, and obviously this is because nutrition and other environmental factors have improved in both countries, but at the end of the day, it doesn’t matter how much the socioeconomic status and nutrition of Japan improves, the average Japanese will always be shorter than the average German because Germans just have ‘taller’ genes”.
And then, they use that same argument with IQ scores, comparing blacks and whites.
“the modern white has a higher IQ than the white from a few years ago, and the modern black has a higher IQ than the black from a few years ago, and obviously this is because nutrition and other environmental factors have improved in both groups, but at the end of the day, it doesn’t matter how much the socioeconomic and nutrition for blacks improves, the average black will always have a lower IQ score than the average white because whites just have ‘smarter’ genes”.
I can already spot problems with this one, conflating that IQ scores are just as genetic as height seems like BS to me. And the conclusion that the average black will always have a lower IQ score than the average white also seems to me to be blindly jumping to conclusions given the fact that one has already convinced himself that IQ is mainly genetic. Or at least, those are my two cents.
The third argument is the whole “evolution doesn’t just happen from the neck down”. It goes like this “oh, different ethnic groups (they try to avoid the word race to sound more scientific) have evolved different characteristics over the evolutionary process. To claim that all of these groups have developed the same cognitive characteristics at the exact same level throughout this whole time is ridiculous, pseudoscientific and it denies evolution.”
I think these are the most insidious arguments out there and the ones that make normal people start to adopt a hereditarian perspective. In your opinion, what’s the best way to counter them?
I’m sorry if I’m taking too much of your time. My apologies, these are really complex topics but, seeing people using that complexity to trick people into becoming eugenicist really bothers me.
Anyways, hope you are doing well doctor and once again, thank you so much for your reply!
Regards,
Mr. D
***
2/19/23. Hi Mr. D. I’m glad you found my email helpful. I’ll try to give you some answers to your second set of questions.
First, let me say that you are right about the endless and complicated arguments made by the race science (RS) people. Most of these are just old arguments that have been debunked, but that continue to be recycled again and again. They are full of flaws that are constantly repeated (in my earlier email I named some of these flaws). I have learned that when a RS person makes a claim, a good first thing to do is to pin down (1) exactly what they are claiming and (2) exactly what specific evidence or sources they are citing. Often, they have no evidence at all (other than their feelings). And if they do cite actual scientific evidence, it is usually not difficult, in this day of the internet, to locate their sources and to see what those sources actually say, which is very often something quite different than what the RS advocate has claimed. Of course, doing this kind of research is time-consuming; but unfounded claims, misrepresentation, and misinterpretation are the bread and butter of RS arguments. Much of what I learned about the RS arguments and their flaws I learned by doing this kind of detective work, over and over again.
Regarding your question about good sources critiquing the RS literature, this is a little difficult to respond to. There are many good scientific sources, but not all of them regard specific RS claims, like the three you asked about in this latest email. So if you specify particular questions about specific issues, I can more easily refer you to sources relevant to those questions. There are a few good, readable books that discuss these issues for general readers, like Ken Richardson’s Genes, Brains, and Human Potential, and Angela Saini’s book Superior. Richardson’s book talks mostly about human intelligence and scientific misunderstandings of it by some RS people, and Saini’s book gives a good history and overview of race science and its distortions.
Regarding the three questions you raised:
1. Twin studies. There are numerous problems with twin studies, including those regarding twins reared apart. A good place for you to start is an article by Jay Joseph detailing many of the problems and flaws in the Minnesota Study of Twins Reared Apart (MISTRA). This particular twin study was supposed to be one of the best ones ever conducted (not as flawed as earlier ones), and Joseph shows that even this supposedly high quality study is riddled with flaws, just like the previous ones. I have attached a copy Joseph’s article to this email [see end of message]. As you can see it is quite lengthy, but you can get a quick sense of the problems with the MISTRA study by reading the list (of the 22 most important problems) on pp. i and ii [see end of message]. Some of these include: the fact that most of the twins were not truly raised apart (#9), that their adoptive placements were not random (#8), that the samples were biased in favor of participants overstating the similarities between twins (#1 and #10), and that when asked about these and other methodological problems, the authors of the study refused to let other researchers see their original data, which casts doubt on their scientific credibility (#3). In addition, there are numerous technical and statistical problems (e.g with the ACE model of parsing variance). Joseph’s article describes some of these technical problems, and I describe others in the various book reviews on my website. These kinds of problems also appear in other twin studies. Even the famous hereditarian Charles Murray admits to many of these problems with twin studies (see his book Human Diversity, p. 215). Besides the attached article, Jay Joseph has written an entire book detailing these and other problems (The Trouble With Twin Studies, 2015), and his website goes into much detail too. And both his book and his website describe other important problems of the twin study approach. You can find his website at this link:
I suggest you go there and search the site with the term “twin studies” and/or “reared apart”
2. The Flynn Effect. I haven’t actually seen the details of this particular argument by Haier, but from what you say it sounds like this amounts to nothing more than an intuitive belief on Haier’s part about where the trends in the Flynn Effect “should” be going if environmental effects are primary. However, neither he nor anyone else can predict such trends. An important misunderstanding here is that the main significance of the Flynn Effect is not (as Haier apparently believes) the size or direction of the changes in IQ but the time scale of these changes, which is way too fast to reflect genetic changes (and therefore must reflect environmental ones). Because these changes are, undeniably, influenced by environment, their magnitude, and even their direction, are not predetermined; rather, they depend on what is happening in the environment. So, for example, there are populations where the Flynn Effect has slowed or actually reversed because environmental forces that lowered test scores apparently became ascendant (rather than the usual better-over-time trends). Here is a study that examined this kind of negative Flynn Effect and found that it, too, is caused by environment, not genes (B. Bratsberg & O. Rogeberg, 2018, “Flynn Effect and its reversal are both environmentally caused”). You can find it at this link:
And of course, this applies to the Black-White IQ gap in the U.S. When efforts to increase school readiness were introduced in the U.S., they resulted in increases in Black children’s IQs. But White families also took advantage of these same resources (like Sesame Street and preschool) which further boosted White children’s IQs as well, limiting Black gains relative to Whites. Other trends also emerged that impacted all families negatively (e.g., outsourcing of jobs, increasing divorce rates, increasing drug trafficking, married women working outside the home, etc.) but that impacted Black families more than they did White ones. This is because Black families start off with more disadvantages in education, employment, transportation, etc., so the negative impact of new environmental stresses for Black families, and for the learning environment of Black children, is multiplied over that of Whites. So while the Black-White IQ gap shrank, it only did so to a limited degree. It takes a very long, committed, and targeted effort to diminish the gap between less and more privileged groups, and such efforts (at least in the U.S.) have been ambivalent and inconsistent. Thus the Black-White IQ gap in the U.S. decreased after civil rights and anti-poverty programs were started in the mid-1960s, until these policies began to change around 1980. Starting at about this time, anti-discrimination laws were weakened by conservative court decisions, and governmental programs to support education and employment in minority communities were cut back. So these and other environmental changes are likely the reasons why the shrinking of the Black-White IQ gap slowed during the 1980s and then stopped.
While we’re on the topic of the Flynn Effect, you might find it interesting to look at this article by Ron Unz:
https://www.unz.com/runz/race-iq-and-wealth/
Unz subscribes to much of the RS program. But he found that when he looked carefully at a mass of data that Richard Lynn, a prominent RS researcher, had collected on regional and national differences in IQ, the numbers strongly suggested a Flynn Effect in which the IQs of Blacks, Hispanics, rural Whites, and others rose dramatically in response to economic development. Unz’s intellectual honesty in reporting this earned him a lot of anger within the RS community.
But Haier and others are right about one thing. It is very difficult to reduce gaps in IQ between disadvantaged and privileged groups–not for the reasons that Haier thinks, but because there are so many deep and longstanding effects of historical dispossession, discrimination, exclusion, family disruption, etc., that remain at so many social, economic, educational, familial, and cultural levels. Haier’s quip about German and Japanese differences only works if environmental factors influencing height in Germany and Japan are approximately equal in both populations (I assume they are). But equality for the factors that influence cognitive development (as measured by IQ) has never been achieved, or come close to being achieved, between Blacks and Whites in the United States, or worldwide, so Haier’s analogy with height is irrelevant.
3. Differential evolution of cognition in different human populations. This is a good example of how RS people try to engage their critics in false arguments. I certainly would not argue that this (differential cognitive evolution) is impossible. But that says very little because virtually nothing can be definitively ruled out as impossible when it comes to the roles of nature and nurture in human psychology. Evolutionary explanations for psychological phenomena are appealing to many people because they are unfalsifiable and therefore can be neither proven nor disproven. Using them, you can postulate an evolutionary explanation for virtually any human trait or behavior, and then conveniently ignore the power of environment in shaping that trait or behavior. RS people frequently employ this tactic because their position is so weak scientifically. Rigorous science here would actually involve forming specific hypotheses about specific abilities, traits, and behaviors, testing these hypotheses under controlled conditions (e.g. tracing specific genetic, biological, and behavioral pathways), ruling out alternative explanations (e.g. specific environmental impacts, especially powerful impacts like culture, education, family support, etc.), and then publishing the results so that other people can see the data and replicate them. You will notice that RS people NEVER do this; instead they engage in circular reasoning, stringing together cherry-picked correlational arguments, which are, maybe at best, supplemented with some loose speculation about unknown genetic actions and possible pathways. This is an agenda-driven polemical argument, not a scientific one, so any debate about it is fundamentally silly.
However, I will give a counter to the (silly) RS genetic claim here: I would point out that the most important skill that characterizes us as human beings, and that distinguishes us from all other species, is our ability to adapt to a wide variety of different environments rather than having to depend on one specific environment or another. That this is the case is strongly indicated by the fact that humans, unlike other animal species, have dispersed all over the world and adapted to a wide range of radically different environments in a very short period of time (on an evolutionary scale). So while the human capability for general adaptation is important, specific innate cognitive skills in humans are unlikely to differ importantly from one ancestral population to another.
Furthermore, the RS argument (for the evolutionary superiority of one ancestral population over another) assumes that cognitive skills would all (or mostly) vary together across all (or many) of these different environments. If you give it some thought, you will see how implausible this assumption is, given the wide range of geographical, ecological, climatological, etc. conditions, and associated selective pressures, that range across these many and diverse environments. If the RS people want to try to prove this highly unlikely claim, then they should go for it! However, they should do so using real scientific methods with real scientific controls, not some mishmash of lame and self-serving theories. And if they actually were to carry out this truly rigorous scientific research program (they have nothing like it so far!), who knows? They might actually identify some specific innate cognitive skills that vary across ancestral populations associated with some specific environmental factors and specific selective pressures. But I doubt that these innate cognitive skills would vary together or that they would constitute anything more than, at best, a complicated mosaic of unsystematic fluctuations of different cognitive skills in different directions associated with different specific environments and different selective pressures. And such fluctuations would likely be trivial, since general adaptivity remains such a powerful and overriding mechanism in humans.
Mr. D, at some point I would be interested to know if you have any ideas for confronting RS people yourself (other than your friend). You seem quite interested in this topic, and perhaps there is a place for you to venture into public on a debunking mission, as you learn more about these issues. As I mentioned before, it is hard (or impossible) to accomplish much by arguing with RS supporters, but there is sometimes value in exposing their bad science in public settings. One of the ways I have done so in the past has been by carrying on discussions in, for example, the “comments” sections of Amazon and other websites. Most of the comments by RS supporters were not worth responding to, but occasionally an RS person would attempt a serious discussion with me, and this would result in an interesting conversation. Unfortunately, Amazon no longer allows these comments and discussions, and wiped them all out a couple of years ago. However, before the comment sections were eliminated, I copied a couple of them, and I am attaching them for you to see, as I think you might find them illuminating. The first is a discussion I had with a commenter who responded to my Amazon review of Charles Murray’s book Human Diversity (this Amazon review is mostly the same as the one I posted on my website). As you can see, [this commenter] makes a lot of assumptions that are common among RS people. As the discussion ensued, it became obvious that his arguments were not backed by science but stemmed from his intuitions (i.e. from his preexisting opinions and biases). We eventually reached a point where we “agreed to disagree.” The other attachment is a discussion I had with [an Amazon reviewer] who had posted a negative Amazon review of Saini’s book Superior. . . I think it became clear that [this reviewer’s] scientific arguments for IQ hereditarianism were not as scientifically defensible as he thought, which may be the reason why he suddenly quit the conversation. Interestingly, his review of Saini later disappeared. I don’t know why, but perhaps he himself took it down. The most important part is the second half, where the discussion becomes more detailed.
In any case, I hope you find these thoughts (and these attachments) helpful.
Michael
[NOTE: The full article “Twenty-Two Invalidating Aspects of the Minnesota Study of Twins Reared Apart” by Jay Joseph that was originally attached to the above message is not included on this website. However, the relevant part of pp. i and ii referenced above are reproduced below. The full article is available by Googling the title and/or by contacting the author at https://www.madinamerica.com/contact-us/.]
Twenty-Two Reasons to Reject the MISTRA Researchers’ Conclusions in Favor of “Pronounced and Pervasive” Genetic Influences on Human Behavioral Differences
[Note: TRA = Twins reared apart; MZA = Monozygotic twins reared apart; DZA = Dizygotic twins reared apart]
1) TRA Studies Based on Volunteer Twins Recruited Through Media Appeals Produce Samples That Favor the Inclusion of Behaviorally Similar Twin Pairs….15
2) “Heritability” Is One of the “Most Misleading [Terms] In the History of Science”….16
3) The Researchers Refused to Share Their Raw Data and Information with Potential Critics….17
4) Conclusions Were Based on Assuming the Validity of What Are in Fact Disputed Psychometric Tests and Concepts….18
5) The Researchers’ Conclusions Were Influenced by Their Strong Biases in Favor of Genetic Explanations….18
6) The Researchers Published Only Minimal Information on the Twins….20
7) Most MZA Twins Were Abandoned Children, and the Generalization of TRA Findings is Questionable….20
8) Twins Were Not Placed Randomly into Adoptive Homes….21
9) The Evidence Suggests that Most Studied MZA Pairs Were Only Partially Reared Apart….23
10) The MISTRA Twins Had Financial and Personal Incentives to Exaggerate Their Degrees of Separation and Behavioral Similarity….25
11) The Key MISTRA Assumption That Above-Zero MZA Group Behavioral Correlations Are Caused Only by Genetic Factors Is Completely False….27
12) The Researchers’ Model-Fitting Procedures Were Based on Assumptions That They Admitted “Are Likely Not to Hold”….31
13) The MISTRA Assumption That Environmental Influences Shared by MZA Pairs Should Be Counted as Shared Genetic Influences is Fallacious….33
14) The MISTRA Claim/Assumption That the “MZA Correlation Directly Estimates Heritability” Is False….36
15) The Researchers Failed to Publish Their Full-Sample Control Group DZA IQ Correlations….36
16) The Published Near Full-Sample MZA and DZA IQ Correlations Did not Differ at Statistically Significant Levels, Supporting the Critics’ Conclusion That the Study Found No Evidence in Support of Genetic Influences on IQ….38
17) The Researchers’ Computer Software Program Was Designed to Favor Genetic Explanations….44
18) Personality Inventories (Tests) and the “Personality” Concept Are Controversial …45
19) The Results of a Little-Known Behavioral Genetic (Non-Twin) Adoption Study Contrasted Dramatically with the MISTRA Personality Findings….47
20) Anecdotal Stories of Behaviorally Similar Twins Have “Nothing to Do with Genetics”….48
21) There is a Lack of Accountability and Pre-Registration in Social and Behavioral Science Research….49
22) “Genes for Behavior” Are Still “Missing”….49
***
Additional message from Jackson to Mr. D:
2/21/23. Hi Mr. D. I just happened to come across this today, and I thought of you and your first question about twin studies. This is how researchers who actually understand the science talk about twin studies (including studies of twins reared apart). This is a tweet from a week ago by Eric Turkheimer, a highly regarded researcher in behavioral genetics. He is commenting on how twin studies have been overinterpreted and misinterpreted for nearly 100 years, and how knowledgeable scientists [such as the authors of the 1937 study below] have known about and commented on this all along. I have included, below, the Twitter link, Turkheimer’s main comment, and the 1937 quote he is referring to.
[Note: the Twitter link is no longer good, as Turkheimer has quit Twitter; however, his tweet and the accompanying quote are copied here:]
Turkheimer’s tweet:
“Lecturing on Newman, Freeman & Holzinger (1937), the first modern twin study of intelligence. For it’s time it is remarkably sophisticated, and avoids regressive hereditarianism. . .”
The quoted passage from Newman et al.:
“If, at the inception of this research project over ten years ago, the authors entertained any hope of reaching a definitive solution of the general nature-nurture problem or even of any large subordinate section of the problems involved, in terms of a simple formula, they were destined to be rather disillusioned. The farther one penetrates into the intricacies of the complex of genetic and environmental factors that together determine the development of individuals, the more one is compelled to admit that there is not one problem but a multiplicity of minor problems—that there is no general solution of the major problems nor even any one of the minor problems. For any particular genetic and environmental setup it is possible by the methods presented in this book to determine what fraction of the variance is due to genetic or environmental differences. In another setup this fraction will undoubtedly vary. We feel in sympathy with Professor H. S. Jennings’ dictum that what heredity can do environment can also do.”
Michael
***
2/21/23. Hi, Dr. Jackson, once again, thanks a lot for all of your explanations and resources. I’ll be checking all of this stuff out. I’ve been listening to a few interviews by Jay Joseph on YouTube regarding twin studies and I didn’t know that these studies have also caused a lot of confusion in the field of schizophrenia which I assumed to be mostly genetic due to the results of twin studies when in reality it wasn’t that genetic at all.
The more that I read about twin studies and the more that I try to wrap my head around the concept of heritability, the more I feel all of these types of studies are kinda useless and they just cause more confusion than anything else, but hey, that’s just me, I don’t have a background in any of this.
I’m really trying to understand heritability, but I don’t know if I’m making any progress. What I sort of grasp about this concept and these studies is this: So, we know that heritability is definitely not the same thing as heredity. What I understand about heritability is that, when there’s a twin study that concludes that IQ is 80% heritable, that study is not concluding that 80% of your IQ score comes from genes. What I understand is that these studies are saying that there’s sort of like an 80% chance that this trait has a certain genetic component behind it, but we don’t actually know how genetic this trait is, nor what are the genes that are causing it, if there are even genes that are causing it in the first place because at the end of the day, twin studies just show correlations but no causation. And also since heritability studies are completely based on the variance among a [sample] of people in a certain environment, the results of these studies are confined to the [sample] that was studied and cannot be generalized, because if you change the group of people and the environment, you might even get a different percentage of heritability and because of this you cannot compare the heritability percentages between two different groups in different environments.
This is sort of what I understand, I don’t know if I’m even close. Please, feel free to correct me if you happen to have the time. If I’m correct in the notion that the results of heritability studies are confined to the group that was studied, I honestly, don’t even know why these studies are made public, they seem sort of useless to the general population if the results can’t be generalized. They’re just the perfect recipe to cause massive confusion among laypeople.
I have also been reading about the missing heritability problem, which seems to be a major deal for these twin studies. So, when the human genome project was finished, people went in thinking that they were going to find a lot of genes directly causing intelligence, but in the end, they just found a few genes with certain correlations to intelligence but nothing else. If I’m interpreting all of this correctly, then that means that twin studies were deeply flawed even in their correlation estimates. If that’s the case, then, honestly, I have no idea why twin studies are still being used in modern science. They seem to be not only useless but inaccurate.
Anyways, I also wanted to ask you about your opinion on GWAS [genome-wide association studies] which apparently have solved the missing heritability problem, at least according to Wikipedia. There are certain studies that are finding hits between genes and IQ. For example, there’s this one:
https://www.mdpi.com/2624-8611/1/1/5
The author of this study associates himself with open white supremacists and if you check out his bio in Rational Wiki you will have a good laugh, but regardless of that, this seems to be a somewhat serious study, but from what I have read, he presents a lot of correlations between polygenic scores and iq but in the same study he seems to admit to be undermining environmental factors.
“Testing more sophisticated models with larger sets of socioeconomic variables would go beyond the scope of this paper but it is an interesting direction for future research”
So, are these GWAS studies sort of making the same mistake that twin studies are making? Focusing way too much on correlation, inflating the involvement of genes, and downplaying the influence of the environment?
Once again, thanks a lot doctor for all of this information, I really really appreciate your responses and all the resources you’ve shared.
Best regards and hope you have a great week,
Mr. D
***
2/28/23. Hi Mr. D. I agree with most of what you say about twin studies (some probably have some validity in some limited circumstances, but not in the way that RS people claim). Many of them are seriously flawed, especially when applied to behavioral traits like IQ, and they are often invoked by people with strong hereditarian agendas to “prove” things that they actually do not prove.
Heritability is also problematic, and I can see how you would be having trouble understanding it. Essentially, heritability means the degree to which an observed trait varies with genetic differences. But this means little or nothing if one does not also seriously consider how the same trait at the same time also varies with environmental differences. This is particularly true when the environmental differences are substantial and tend to work in the same direction (both of which are true of the history and social positioning of disadvantaged minorities). It is important to realize that heritability is a completely mathematical (statistical) concept, and, as such, it cannot, by itself, establish anything definite about cause-and-effect (with a few partial exceptions–again, though, not in RS research with its neglect of the environment). Identifying causation always requires actual empirical observations, and, even then, is difficult to establish. Ideally, you need observations in a controlled experiment to determine causation. In contrast, the only thing you can demonstrate with a purely statistical concept like heritability (by itself) is that one kind of thing is correlated with another kind of thing–but strictly speaking it tells you nothing, in itself, about cause-and-effect. The same is true of other kinds of analysis that are used by hereditarians, including the genetic techniques you mentioned like candidate gene studies, GWAS, and polygenic scores (PGS).
Therefore, when you ask
“So, are these GWAS studies sort of making the same mistake that twin studies are making? Focusing way too much on correlation, inflating the involvement of genes, and downplaying the influence of the environment?”
the answer is yes, you are exactly right. If you say this to an RS person, they will argue back about all the data they have and all the correlations between genes and human traits–but this means, essentially, nothing, because what they are ignoring (especially in the case of behavioral traits like test performance and IQ) is the profound effects of environment in shaping those very same traits, which RS people rarely even think about, let alone try to identify. Likewise, their attempts to quantify “how much” of the causation of the trait is genetic and “how much” is environmental are also misleading. The numbers mean nothing without knowing, in detail, what all the causes (genetic and environmental) are, and how to measure them. And we know very little about this. All we have are haphazard guesses by various researchers, and these various guesses produce inconsistent, and sometimes wildly different, results.
One sign of this is the uncertainty about the magnitude of the heritability of IQ. You made a reference to IQ having a heritability of 80%–I can tell you got this number from a hereditarian! I can also see from your email that you know that actual estimates of the heritability of IQ vary all over the place. Most people just say “about 50%” but that is also misleading, because you get different numbers depending on whom you test. Here is a study by Eric Turkheimer that found that heritability is drastically lower if you look at people across different social classes (this is a well-known study and it has been replicated numerous times, but RS people rarely mention it):
Now, I am not sure if part of the reason you are uncertain about heritability is because it is so statistical. I don’t know what your background in statistics is. It would be helpful if I knew whether you have had any courses in statistics. I could also tell you about some studies that used various correlational and other techniques to study environmental factors and that found strong evidence that environmental forces can easily account for the Black-White IQ gap. (These, too, are not controlled experiments and cannot establish definite causality; but they strongly suggest racial, ethnic, and other IQ group differences are primarily or entirely environmentally determined.) RS people do not talk about these studies, or if they do, they misrepresent them. If you have never had a statistics course and you want to continue to look into these issues, you might want to take a basic statistics course, or maybe just read a book on elementary statistics. Since you work with computers, I am guessing that you have math skills, and could get the basics, which could be helpful. However, I can see that you do understand the most important issue of all, the difference between correlation and causation, since confusions about that are the main source of most RS fallacies. I should mention, though, that it is notoriously easy to slip into correlation-causation fallacies, even for very knowledgeable people. I suggest you look at the attachment I sent you of my conversation with [Mr. A], especially the last two or three paragraphs, where I explain some of the reasons why it is so easy to slip into confusing this distinction (between correlation and causation), and why it is so important not to do so.
If I were you, I wouldn’t spend much time on the Piffer (2019) study you linked. It is a typical RS study that attempts to imply inappropriate leaps from correlation to causation, and it is not taken seriously by anyone outside the RS community. In fact, Warne himself describes some of the limitations of this study on p. 257 of his book (there are more serious limitations that Warne does not mention, such as the invalidity of the entire approach).
Regarding the missing heritability, where in Wikipedia did you find the statement that this problem has been solved? I was not able to find it. What you may be thinking of is the fact that there have been some studies that have recovered most or nearly all of the “missing heritability” for some biological traits. The best known one was for height. In 2019 this got a lot of publicity because twin studies were said to find that height is about 80% heritable, and one research team used a whole genome survey (not a more limited GWAS) to calculate that ALL the SNPs (single nucleotide polymorphisms) in the human genome could collectively account for 79% of the variance of height (and therefore, accounted for all but 1% of the gap with twin studies). When this preliminary study was later completed with a larger number of individuals (25,000 instead of 21,000), the heritability of height dropped to about 68%–significantly less than originally thought, though still notable. So this is an interesting finding, but it has little relevance to the RS argument, for several reasons.
First, this kind of finding (of missing heritability) has only succeeded for exact, measurable, physical traits (height and body-mass index, and maybe some medical conditions). Applying this to behavioral traits (like IQ) is much more questionable. There have been several attempts to obtain a purely genetic heritability score (called “SNP heritability”) for intelligence. The results have varied substantially, depending on the technique used, but most findings have been in the range of 20-30%, about half the 50% averaged by twin studies, and far below the 80% claimed by ideological hereditarians. Second, all these studies (even those of physical traits like height) still conflate genetic and environmental sources of variability because what is counted as genetic here may also be a result of, for example, family, social, and cultural practices, local diets, exposure to toxins, economic conditions, and other environmental factors that may happen to spuriously correlate with membership in particular genetic groups (which is especially likely to happen with regard to ethnic groups). Third, you still have all the problems with heritability generally, such as the fact that it varies from one population to another. The less environmental variation there is, the more heritability there has to be, by definition (which is why white middle class populations have more heritability than more diverse ones). Theoretically, in a population with an exact, constant, identical environment for everyone, the heritability of height, IQ, favorite TV program, and everything else, would be 100% (only genes would matter); likewise, for a trait that is clearly genetically caused (like having two legs), heritability is nearly 0% (because one-leggedness is almost always the result of some kind of environmental event). Fourth, it is not even clear that all the theoretical genetic variance is actually genetic. The models that underlie these calculations assume that genetic and environmental influences are additive, but they also may be, and are likely to be, nonlinear (i.e. interactive), so that the variance that is mathematically forced into the category “genetic” in these models is actually a combination of genetic and gene-X-environmental-interactive causation.
Therefore, what we learn from “heritability” statistics is actually very little. And this is confirmed by what happens when you try to actually use the findings of SNP heritability to make independent predictions in the real world. In the case of height, for example, when you survey genetic elements identified by GWAS and other studies of SNP heritability and use them to predict actual heights of actual individuals in another independently selected sample, the results you get are still no more accurate than predicting height simply from the average heights of a person’s two parents (accounting for about 45% of the variance). Here an example of a study that found this.
https://www.ncbi.nlm.nih.gov/pmc/articles/PMC8266463/
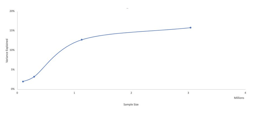
When you make such predictions for cognition the results are even worse. There have been several attempts in the past few years to predict cognitive performance from PGS scores derived from SNP studies using huge samples of individuals. The most recent such study (in 2022) used a sample of over 3 million individuals), and this was able to account only for about 15% of the variance in cognition, still way below most twin estimates of genetic causation. Assuming the typical twin estimate of 50% this still left about 70% of the alleged genetic causation missing (that is, 50 – 15 = 35, or 70% of the “genetic” 50%). Furthermore, there is evidence that the genetic variance that can be found by these techniques is leveling off at this lower level. Here is a tweet from Erik Turkheimer describing this. As you can see, as the sample size increases from 1 to 3 million (x-axis), the results show diminishing returns. (Be sure to look at figure 2, and then scan down to see the non-logarithmic (true scale) version by Emily Merchant, where you can see, clearly, that the variance explained by genetic elements is leveling off in the 15-17% range:
Eric Turkheimer’s tweet:
“We are now over 3 million participants. A 3x increase in sample size produced a 25% increase in between-family R2. Remember when we were told that bigger samples would inevitably lead to scientifically or practically actionable results? Are we still waiting for that? . . . “
Figure 2

Emily Merchant’s true scale version showing the leveling off of variance explained:
https://twitter.com/ashleystreet/status/1509893728483348481

One other thing: these results are for White Europeans only. The predictive power is even less for Africans and other non-European groups.
Take care, Mr. D!
Michael
***
3/5/23. Good day Dr. Jackson, once again, thanks a lot for your reply.
This week I was able to read your debates with [Amazon customers] and my god, they sounded exactly the same as the guy that I was talking to you about. It almost seems like all of them are the same person. It’s uncanny. Same fallacies, same arguments, even same blind self-confidence. Also, what’s up with these guys and Occam’s Razor? They’re always trying to invoke heuristics to reach a conclusion in a field as complex as genetics.
I think the main reason why I struggled to understand heritability was just because of how useless and inconsequential it actually is, or, I should say, how useless and inconsequential it seems to me. I thought that it was trying to say something way more important but it wasn’t. It’s just a very wide estimate of a certain genetic correlation of a variance in a trait within a group. I finally understood it when I read Chomsky’s argument that under the logic of twin studies, the heritability of wearing earrings is actually not 0% and it should actually be somewhat high because wearing earrings, despite being a completely environmental trait, is strongly associated with something genetic, your biological sex. And as you said, how something as genetic as having two eyes has a heritability of 0% because any variance would be completely environmental. That’s when I got it and realized how these heritability estimates don’t tell you anything about how genetic something is, nor it’s even their intention to do so. Their intention is to measure something way dumber, or well, dumber at least to me. They just measure this extremely vague genetic correlation.
Sorry, I think I misread Wikipedia regarding the missing heritability problem
“This resolution to the missing heritability problem was supported by the introduction of Genome-wide complex trait analysis (GCTA) in 2010, which demonstrated that trait similarity could be predicted by the genetic similarity of unrelated strangers on common SNPs treated additively, and for many traits the SNP heritability was indeed a substantial fraction of the overall heritability.”
I think I misread that and thought that the GWAS studies were designed to solve the missing heritability problem, but I see that was not the case.
Right now I have actually become interested in the debate that Jay Joseph and Eric Turkheimer are having regarding the validity of twin studies. I think I completely get Joseph’s position against twin studies, but Turkheimer’s position about twin studies is sort of an enigma to me. I have listened to some of his talks and he seems to be a brilliant man, but I still don’t understand why he argues that twin studies still have a certain validity. I read the review he made of “The trouble with twin studies” where he himself admits that the EEA [equal environment assumption in comparing identical and fraternal twins] that twin studies rely upon is false, but then he argues that that doesn’t really matter and twin studies are still somewhat valid. I don’t get how he reaches that conclusion. Of course, I know Turkheimer is not a hereditarian or anything, I’m just curious about the way he thinks about twin studies. But anyway, I’m pretty sure this must be super technical stuff, and I’d probably need to enroll in a degree in behavioral genetics to actually get it.
By the way doctor, I actually found a super helpful Youtube video (or maybe I should call it a documentary) by the youtuber Shaun in which he exhaustively debunks pretty much the entirety of Murray’s The Bell Curve. I think he did a terrific job with it and thought you might want to check it out in case you don’t know about it.
https://www.youtube.com/watch?v=UBc7qBS1Ujo
Best regards,
Mr. D
***
3/20/23. Hi Mr. D
Thanks for your last email. I apologize for not responding sooner, but I got distracted by other things. Thank you for your interesting comments about my discussion with Mr. C. You may find the discussion I had with Mr. A a little more illuminating. It started off the same way, but I think Mr. A actually did start to see some of the problems with his own arguments (though he didn’t exactly admit it), and, as a result, the discussion became more genuinely interesting.
Your impatience with heritability is well-justified. The heritability concept is mostly useless. It may have some legitimate applications in plant and animal breeding. And as we discussed before, it may have some validity regarding physical traits in humans, like height and weight. But even in medical venues, it is probably too unstable and weak a statistic to be of much use. Ideological hereditarians sometimes invoke the ideal of “precision medicine,” along with the prediction that in the future knowledge about genes may be important in treating some medical conditions. This may be true, but quantified heritability estimates are likely to be of little or no use for this. In the cases of known genetic effects in medicine (these occur in a small minority of diseases identified by studying families, or by studying individuals being treated, not by calculating heritabilities), getting a good family history and/or testing for specific genes is probably the best we are able to do at this time. Even studying specific heritabilities for specific diseases in specific ethnic groups is unlikely to tell us much because environmental confounds are so numerous and so deep, and individuals vary a great deal in their genetic makeup even within specific ethnic groups.
In the area of human psychology, the concept of heritability probably has no use whatsoever. It appears to me that the only social scientists who take heritability estimates seriously are dedicated hereditarians (some—but not all—of whom have racist agendas to one degree or another).
You ask a good question about Eric Turkheimer. (All of your questions are excellent!) Turkheimer is an interesting guy. He knows everything I described in the previous paragraphs, and I think he would agree with most, if not all, of what I wrote there. In fact, much of what I learned about heritability, I learned from Turkheimer. He is absolutely clear that any attempts to quantify genetic causation in heritability estimates is a waste of time, and probably a completely hopeless project because of environmental confounds and gene-environment interaction. I am attaching an article he wrote in 2000 that summarizes this nicely [see end of message]. It involves some complex issues, but it is fairly short and readable. The three laws of behavioral genetics that he refers to are not actually laws; rather, they just summarize the main findings of behavioral genetics research (about 10 years after this article was written, a fourth law was added, stating that most human behaviors are associated with vast numbers of genetic variants, each accounting for a very small proportion of variance). The main idea of this article, however, is that human development cannot be accurately captured into measurable genetic and non-genetic variance because it is fundamentally interactive and nonlinear. Behavioral genetics theorists have tried to study “how much” of our psychology comes from genes, and how much from the shared environment, and from the unshared environment. But due to the complex interactivity of human development, these categories and this model (technically called the ACE model) do not work. The “genetic” category really only tells us that a specific proportion of genetic elements have had some active or reactive role during the development of some particular human behavior, but it does not tell us which of those elements were involved, nor how directly or indirectly their role was exerted or experienced, nor how they may have interacted with the environment and/or each other along the way; and it tells us even less about the role of environment: it does not tell us whether the “shared” and “unshared” environmental effects occurred inside or outside the family, nor how many, nor which of these environmental events interacted with the genetic ones and/or with each other. Most of this is summarized in the diagram on p. 161. Furthermore, in this short paper, Turkheimer makes another important point. Behavioral geneticists had previously thought that the shared and unshared environmental events that contribute to specific human psychological traits could be objectively observed and measured. However, this is not possible, for two reasons (1) some environmental factors are probably effective rather than objective (that is, they produce different effects in different individuals due to how they are experienced); and (2) many (perhaps most) important environmental events are unsystematic rather than systematic (that is, they are so complicated and idiosyncratic that they do not occur on a regular enough basis to be counted and measured).
On the other hand, yes, Turkheimer does believe that twin studies can be useful for some kinds of research. The important thing to keep in mind here is that twin studies and heritability studies are not that same thing, or even the same kind of thing. A twin study is a type of experimental (or more correctly, quasi-experimental) design; whereas a heritabiity estimate is a way of analyzing the results of such a design. Turkheimer believes that some twin study designs can be used to suggest that one psychological trait can influence another psychological trait independently of genetic (and some kinds of environmental) influences. He argues that you can show this independence by using twin studies to control for genetic (and some kinds of family) influence. For example, he describes a twin study that found that in pairs of identical twins, the twin with the lower degree of self-control was more likely to end up victimized than his or her co-twin, which indicates that there is a relationship between self-control and victimization and that this relationship is independent of genetics and of family background. It doesn’t exactly show causation, but it does seem to rule out genes and family background as competing direct explanations. None of this assumes anything about heritability, nor about (monozygotic-dizogotic) equal environments (that is, the EEA).
I hope you are enjoying the first days of spring!
Michael
[Note: The article that was originally attached to the above message is entitled “Three Laws of Behavior Genetics and What they mean,” and may be available online or from the author, Eric Turkheimer, at https://uva.theopenscholar.com/eric-turkheimer.]
***
4/9/23. Hello, Dr. Jackson and so sorry for the late reply. April has been pretty busy for me. Once again, thanks a lot for your detailed explanations and your recommendations.
I don’t think that I have further questions for the moment, but I’ll start reading Superior by Angela Saini because the book caught my eye. The more that I read about behavioral genetics, genes, intelligence research, the more I realize how impossible it is for race realists to try to prove their arguments. They basically need a miracle to change the whole of science to prove what they’re trying to prove. They need to do so many things.
They need to:
1.- Come up with a satisfactory definition of what intelligence even is, and it has to be such a good, powerful, compelling definition that puts all debates to end.
As far as I’ve read there’s no consensus of what intelligence is and its definition is still up for debate and it probably always will be.
2.- They have to come up with an objective and scientifically accurate way of measuring it.
As far as I’ve read we don’t even know what IQ even measures for sure and its validity is constantly put into question.
3.- They have to prove somehow that most if not all of this intelligence comes from genes alone, not the environment, nor genes interacting with the environment.
As far as I’ve read they haven’t found a single causal gene that directly produces intelligence, or something that we can consider an IQ gene. And also, it’s pretty much impossible to fully separate genes from environment because [their effects are] so thoroughly intertwined. Trying to determine what percentage comes from genes and what percentage from the environment seems to be an exercise in futility.
4.- They have to prove the existence of genetic races and they have to accurately categorize them.
As far as I’ve read, race is now considered a social construct studied by the social sciences but it’s an obsolete concept in the fields of genetics or biology. People from the same social race tend to have wider genetic differences than people from other social races.
5.- They have to find those specific IQ genes (which haven’t been found) and compare them among the different genetic races (which don’t exist) and prove that there’s a difference between them.
So, in short, they’ll need to cause a paradigm shift in 3 or 4 different fields of science to try to prove their point. But, they really don’t have anything. They just have baseless interpretation of studies that are not suggesting what they think they are suggesting. Causation correlation fallacies and insidious statistical tricks but, that’s it. It’s just smoke and mirrors here.
All in all, these are the conclusions that I’ve come to in this little research tangent that I’ve gone through. I want to thank you so much for being a guide in all of this literature, and please, continue with your science communication work,
It’s really critical stuff and I hope it reaches many people as it has reached me.
May I ask if you have any new book reviews in mind?
Once again, thanks for everything and best regards,
Mr. D
***
4/29/23. Hi Mr. D. Yes, your 5 points sum up the problems with the whole race-IQ argument very nicely! Feel free to let me know if you have any other thoughts or questions about it. I don’t have any special plans for more reviews on this topic at present, but I am always interested in thoughts or suggestions.
Good luck with your future work!
Michael